
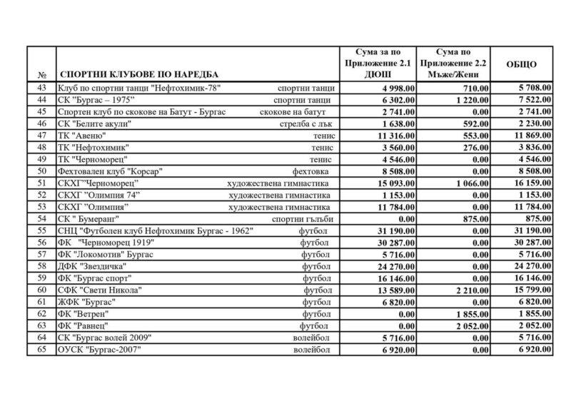
Община Бургас показа справка със субсидиите, които ще раздаде на спортните клубове през 2019 г. Очаквано, най-големи суми ще приберат футболните Нефтохимик и Черноморец – съответно 31 900 лв. и 30 287 лв. Тройката се допълва от клуб по борба Бургас – с 24 973 лв. Общо заделената сума за всичко клубове е в размер на 630 000 лв.
Пълен списък със субсидиите:










